Curiosidades sobre la cinta adhesiva de aluminio
Introducción:
Llevo tiempo usando este tipo de cinta adhesiva de aluminio para fabricar mis condensadores de alta tensión para láser de nitrógeno, pero hasta ahora no me di cuenta de si el adhesivo favorecía o no, en la capacidad final de los condensadores.
Desarrollo:
Me propuse a comprobarlo en un simple láser que tenía fabricado y como ahora ya tengo catalogados los diferentes plásticos dieléctricos de uso común, pues tomé medidas de capacidad y comprobé si la teoria debía coincidir con la realidad.

El plástico para este modelo es de 180um , de poliestireno con un coeficiente dieléctrico de 2,5.
Cálculos:

Por lo tanto, parece que hay algún material entre el conductor y el poliestireno que tiene más coeficiente dieléctrico, y la suma de los diferentes coeficientes es algo superior a 2,5.
Tomando las medidas del grosor de la cinta adhesiva de aluminio

Se ve que el aluminio tiene un grosor de 50um y el pegamento 30um. (80um en total)
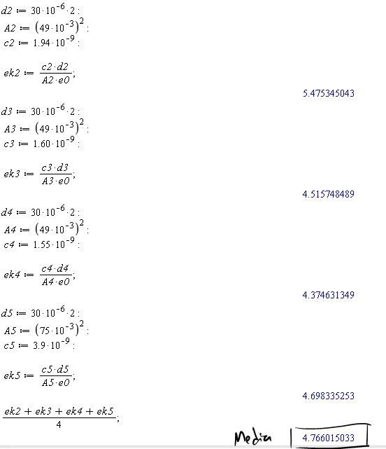
Poniendo dos cintas con el pegamento unido, tenemos un condensador con un dieléctrico de pegamento de 60um.
Al tomar la capacidad y obtener el coeficiente dieléctrico, he obtenido de media 4.8.
Cálculos:

Conclusiones:
El usar la cinta adhesiva de aluminio directamente pegada sobre el dieléctrico de plástico, mejora la capacidad total del conjunto.
Hay que tener en cuenta a la hora de diseñar el condensador, ya que la capacidad teorica será menor a la real.
Pruebas realizadas el 13-01-2011
Volver al index
|